The responsible service for the provision of telecommunication and navigation facility services in Thailand is Aeronautical Radio of Thailand Ltd.
Aeronautical Radio of Thailand Ltd.
102 Ngamduplee, Rama IV,
Tungmahamek, Sathon,
Bangkok 10120
Thailand
Tel: +662 287 3531-41
Fax: +662 287 3131
AFS: VTBBYTYX
The service is provided in accordance with the provisions contained in the following ICAO documents:
Annex 10 - Aeronautical Telecommunications
Doc 8400 - ICAO Abbreviations and Codes (PANS-ABC)
Doc 8585 - Designators for Aircraft Operating Agencies, Aeronautical Authorities and Services
Doc 7030 - Regional Supplementary Procedures
Doc 7910 - Location Indicators
Doc 9880 -Technical Specifications for ATN using ISO/OSI Standards and Protocols
Aeronautical Radio of Thailand Ltd. is responsible for the aeronautical telecommunication services and navigation services operated within Bangkok FIR.
The following types of radio navigation aids for air navigation are available;
Non-directional Beacon (NDB);
VHF Omni-directional Radio Range (VOR);
Distance Measuring Equipment (DME); and
Instrument Landing System (ILS)
Aeronautical Mobile Service (Voice Communications)
The aeronautical stations maintain a continuous watch on their stated frequencies during the published hours of service unless otherwise notified. An aircraft should normally communicate with the air-ground control station which exercises control in the area in which it is flying. Aircraft should maintain continuous watch on the appropriate frequency of the control station and should not abandon watch, except in an emergency, without informing the control radio station.
Aeronautical Fixed Service (Voice Communications)
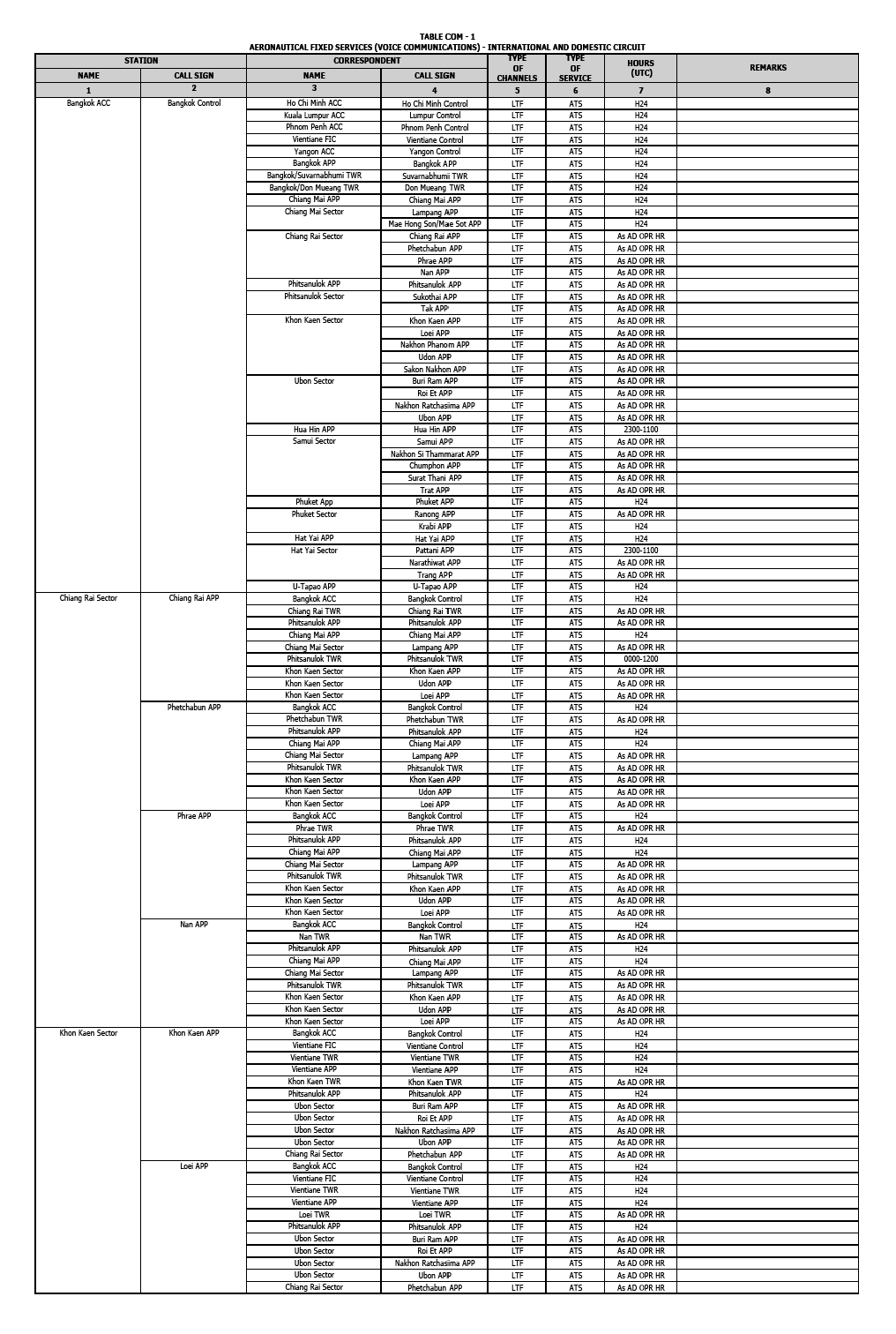
ATS direct speech circuit (telephone circuit) is provided for direct exchange of information between air traffic services (ATS) units.The detail of information on Aeronautical Fixed Services (Voice Communications) are given in GEN 3.4, TABLE COM-1
Aeronautical Fixed Service (Data Communications)
Messages to be transmitted over the Aeronautical Fixed Service are accepted only if:
they satisfy the requirements of Annex 10 Volume II Chapter 3 paragraph 3.3;
they are prepared in the form specified in Annex 10 Volume ll; and
the text of an individual message does not exceed 1800 characters in length and AFTN message entered by the AFTN origin station shall not exceed 2100 characters in length.
General Aircraft Operating Agency messages are only accepted for transmission to countries which have agreed to accept Class “B” traffic. Charges for Class “B” traffic are published in GEN 4.2.
The detail of information on Aeronautical Fixed Services (Data Communications) are given in GEN 3.4, TABLE COM-2
Automatic terminal information service (ATIS), the automatic provision of current and routine information to arriving and departing aircraft is provided.
Sub-area Meteorological Broadcasts (VOLMET Radiotelephony Broadcasts) are available for the use of aircraft in flight. Full details are given in GEN 3.5, Table GEN 3.5.7.
English
Not applicable



